35+ Calculate The Moment
Solved Use The Graphical Method To Construct The Shear Force Chegg Com

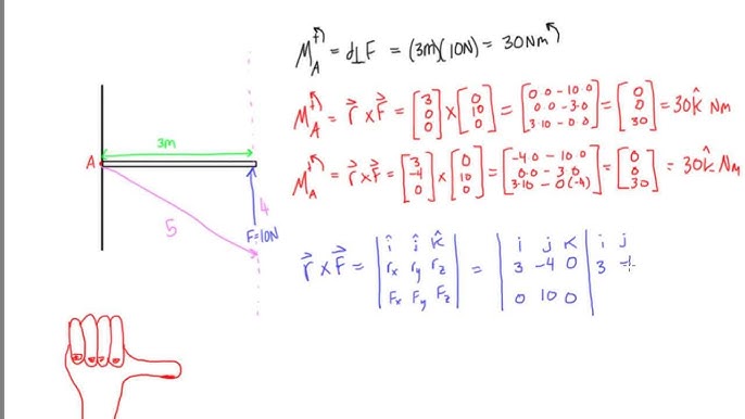
How To Calculate The Moment About A Point Pt 1 2d Example Youtube
Law Of Moments How To Calculate Turning Force Youtube
Are There Any Tricks To Find Moment Of Inertia Of Any Given Body Quora
Answered Calculate The Moment Positive If Bartleby
Calculating Time In Google Sheets
Clutch Rates In Challenger Finals And Masters 1 Is Hiko Really The Best R Valorantcompetitive
How To Calculate An Unknown Force Using Moments Quora
Find The Moment Of A Force About A Point Youtube
Turning Forces Principle Of Moments Calculation Gcse Physics Youtube
How To Show Over 24 Hours 60 Minutes 60 Seconds In Excel
How Comfortable Are You Socializing By Hannah Sung
Solved A For The Simply Supported Beam Calculate The Chegg Com
35 Ideas For Wall Decor That Ll Look Hella Good In Your Home
A Ping Pong Ball Is Projected From The Ground At An Angle Of 35 Degrees From The Horizontal With An Initial Velocity Of 20 M S What Is The Horizontal Distance Reached By The
How To Calculate The Moment About A Point Pt 1 2d Example Youtube
Solved A Cantilever Beam Supports The Variable Load Shown Calculate The 1 Answer Transtutors
Solved Problem 2 41 Calculate The Ultimate Moment Capacity Chegg Com